You are seeing the paginated version of the page.
It was specially created to help search engines like Google to build the proper search index.

Click to load the full version of the page
Тренажер №29. Cтепень, 7 Класс, Сложный
08-Feb-2025 11:45
Тренажер №30. .Действия С Числами. 6 7 Кл.(№2)
08-Feb-2025 11:45
Тренажер №25. Вычитание Десят. Дроби Из Целого Числа (3 2,6,
08-Feb-2025 11:45
Тренажер №21(Смесь). Формулы Сокращенного Умножения. 7 Клас
08-Feb-2025 11:45
Тренажер №10. Степень, 7 Класс, Простой
08-Feb-2025 11:45
Тренажер №18. Действия Со Степенями. 6 Класс
08-Feb-2025 11:45
Тренажер №26. 7 Кл. Работа С Формулами
08-Feb-2025 11:45
Тренажер №11. График Линейной Функции. Мн Во Точек На Прямо
08-Feb-2025 11:45
Тренажер №19. Степень, 6 Класс
08-Feb-2025 11:45
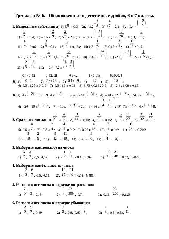
Тренажер №6. Обыкн. И Дес. Др., Из Тестов, 6 И 7 Кл.
08-Feb-2025 11:45